Dacă observați erori de traducere, vă rugăm să ne scrieți pe forum despre acestea.
Sociometric Indices
There are two types of sociometric indices:- Personal sociometric indices;
- Group sociometric indices.
The former characterize the individual socio-psychological properties of an individual as a member of a group. The latter provide numerical characteristics of the overall sociometric configuration of choices within a group. They describe the properties of group communication structures.
Personal sociometric indices
The main personal sociometric indices are:
- sociometric status index of the i-th member;
- emotional expansiveness index of the j-th member;
- volume index of intensity and concentration of interaction of the ij-th member.
The symbols i and j denote the same group member, but in different roles:
- i – object of choice;
- j – subject of choice;
- ij – combination of roles.
Sociometric status index of the i-group member
Sociometric status is the property of an individual, as an element of the sociometric structure, to occupy a certain spatial position (locus) within it, i.e., to relate in a certain way to other elements. This property is developed unevenly among the elements of the group structure and, for comparative purposes, can be measured by a number – the sociometric status index. The elements of the sociometric structure are individuals, members of the group. Each of them interacts with each other to some extent, communicating, directly exchanging information, etc. At the same time, each group member, being part of the whole (the group), influences the properties of the whole through their behavior. This influence is realized through various socio-psychological forms of mutual influence. The subjective measure of this influence is emphasized by the magnitude of sociometric status. However, an individual can influence others in two ways – either positively or negatively. Therefore, it is customary to speak of positive and negative status. Status also measures a person's potential for leadership. To calculate sociometric status, it is necessary to use sociomatrix data.
The sociometric status index of a group member is determined by the formula:
where Ci is the sociometric status of the i-member, Ri is the elections received by the i-member, ∑ is the sign of the algebraic summing the number of votes received for the i-th member, N is the number of group members.
It is possible to calculate C+ (positive) and C– (negative) status in small groups (N).
Index Emotional expansiveness of the j-member of the group
The emotional expansiveness index of the j-member of the group is calculated using the formula:
where Ej is the emotional expansiveness of the j-member, R is the choices made by the j-member (+, –).
From a psychological perspective, expansiveness characterizes a person's need for communication.
Group Sociometric Indices
Among the group sociometric indices, the most important are:
- Group Emotional Expansiveness Index;
- Group Psychological Reciprocity Index (Group Cohesion);
2.1/ Group Emotional Expansiveness Index
The group emotional expansiveness index is calculated using the formula:
where Ag is the group's expansiveness, and N is the number of group members.
The index shows the average activity of a group when solving a sociometric test task (per group member). This formula allows us to understand how actively group members are involved in the interaction process.
Reference values for the group emotional expansiveness index:- Ag = 0: Group members do not make any choices (passivity).
- Ag ≪ 1: Very low activity level in the group (e.g., 0.06).
- Ag = 1: Average activity level (each participant makes an average of one choice).
- Ag > : High activity, participants make more than one choice on average (e.g. 1.7).
- Ag ≫ 1: Very high activity, the group shows rich interaction ( or more).
2.2/ Index of psychological reciprocity in a group
The index of psychological reciprocity ("group cohesion") in a group is calculated using the formula:
where Gg – reciprocity in a group based on the results of positive elections, Aij+ is the number of positive mutual ties in the group, N is the number of group members.
The cohesion index shows the proportion of pairwise mutual ties in a group relative to the theoretically possible number of such ties.
Reference values of the psychological reciprocity index in a group:- Gg = 0: Complete absence of interactions in the group.
- 0 < Gg ≤ 0.25: Low intragroup interaction.
- 0.25 < Gg ≤ 0.5: Moderate interaction.
- 0.5 < Gg ≤0.75: High activity, group members actively interact.
- 0.75 < Gg ≤ 1: Very high cohesion and emotional activity.
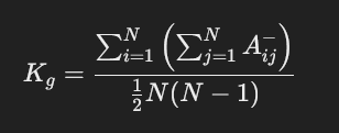
2.3/ Conflict Index
The conflict index characterizes the conflict potential of a group. It is symmetrical to the psychological reciprocity index and represents an index of negative reciprocity, indicating the presence and degree of mutually negative pairs. The presence of such pairs reduces the processes of structural consolidation and diminishes the group's ability to maintain equilibrium.

- Kg = 0: Complete absence of conflicts in the group.
- 0 < Kg ≤ 0.25: Low conflict. The group is relatively close-knit, with few negative votes.
- 0.25 <Kg ≤ 0.5: Moderate conflict. There is noticeable tension between participants.
- 0.5 < Kg ≤ 0.75: High conflict. A significant portion of the group members are in a state of conflict.
- 0.75 < Kg ≤1: Very high conflict. The group is almost completely disunited and characterized by high tension.
2.4/ Group Reference Index (Group Satisfaction)
The higher the reference index, the closer the connections between the core group elements, whose behavior determines the processes of developing a sense of community. The index shows how satisfied group members are with their preferences. If is close to 1, then most of the participants' preferences are satisfied. If U is less than 1, some preferences remain unsatisfied.
where
is the sum of mutually positive choices in the group;
sum of positive votes in the group.
- U = 0: Participants are not at all satisfied with their preferences; there are no choices in their favor.
- 0 < U ≤0.5: Low level of satisfaction, most preferences remain unsatisfied.
- 0.5 < U ≤ 0.75: Moderate level of satisfaction, preferences are partially satisfied.
- 0.75 < U ≤ 1: High level of satisfaction, most preferences are fulfilled.
- U > 1: Group members received more positive choices than they made, which may indicate excessive popularity of some members.